윤현성 박사과정생, 한국지역개발학회지 논문 게재
- enfey9
- 2024년 9월 30일
- 1분 분량
저자: 윤현성, 김승남
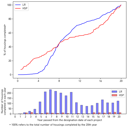
제목: A Study on Speed of Housing Supply by Project Type - Focused on Comparing Land Readjustment and Housing Site Preparation Projects of Seoul, Republic of Korea
게재정보: 한국지역개발학회지, 36(3): 175-202
개요: 토지구획정리사업(Land readjustment)과 일단의 주택지 조성사업(Housing site preparation)의 주택 공급 속도를 extended cox model로 분석한 연구입니다.








댓글